From “whoever pays, gets paid” to “only the right people”: The next generation of Launchpad is poised to reshape the landscape.
Original translation by: Block unicorn
Foreword
ICOs are back, and launchpads are flocking to them, all wanting a piece of the pie.
In October, Coinbase acquired Echo and launched its token sale platform earlier this month; in September, Kraken partnered with Legion. Meanwhile, Binance has a close relationship with Buildlpad, and PumpFun is attempting to issue utility tokens through Spotlight.
These developments come at a time when investor interest and trust in ICOs are recovering.
Umbra Privacy raised $156 million on MetaDAO with a $750,000 funding goal, while Yieldbasis was oversubscribed 98 times in less than a day on Legion. Aria Protocol was oversubscribed 20 times on Buildpad, attracting more than 30,000 participants.
As ICOs begin to raise funds at several times their offering price, filtering out the noise becomes especially important.
In our previous article, “Capital Formation in the Cryptocurrency Sector,” Saurabh explained how capital formation in the 加密貨幣currency space has evolved. He explored how new financing structures, such as Flying Tulip’s investment model and MetaDAO’s ICO, attempt to resolve potential conflicts of interest among teams, investors, and users. Each new model claims to offer a better balance of interests among the parties involved.
While the success of these models remains to be seen, we are seeing various launchpads attempting to resolve the conflicts between investors, users, and teams in different ways. They are achieving a more selective investor cap by allowing project teams to choose their own investors during public token sales.
In today’s article, I will 指導 you through the reasons and methods of investor screening.
Selected holders will be given priority.
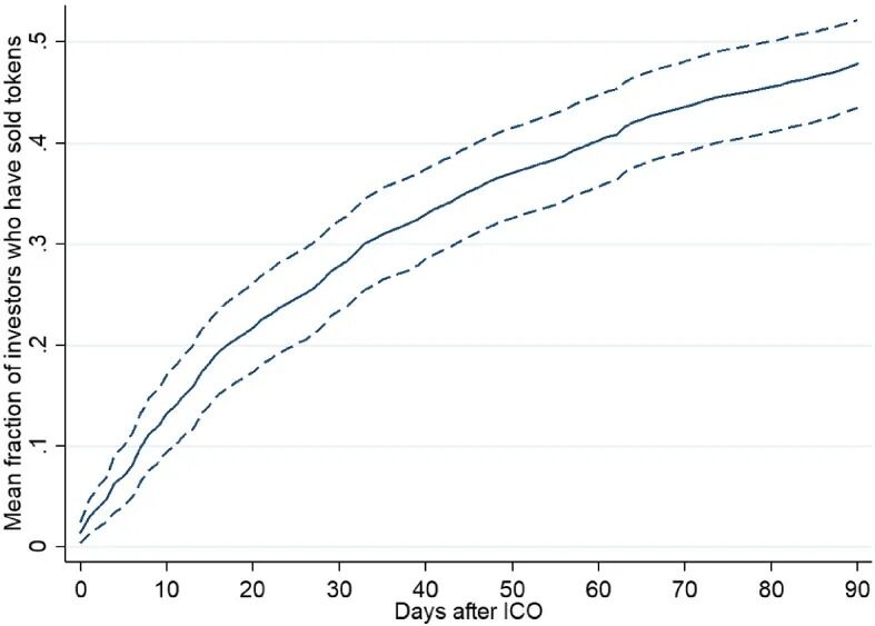
Between 2017 and 2019, ICO investments mostly adopted a first-come, first-served model, attracting a flood of investors attempting to enter at low valuations, typically aiming for quick profits in the early stages of a project. Research data from over 300 ICO projects shows that 30% of investors exited within the first month of the project’s launch.

While quick returns are always tempting to investors, project teams are not obligated to accept every wallet asking for money. Truly visionary teams should be able to select their ICO participants, filtering out investors committed to long-term growth.
The following is Ditto from Eigencloud discussing the shift from a first-come, first-served (FCFS) sales model to a community-centric sales system.
The problem with this round of ICOs is that it ultimately fell into the trap of a “lemon market.” Too many ICO projects emerged, many of which were scams or traps, making it difficult for people to distinguish between high-quality and low-quality projects.
Launchpad’s inability to rigorously vet all projects led to low investor trust in ICOs. Ultimately, the number of ICOs surged, but the available funding to support them was insufficient.
Now it seems that the situation is starting to change again.
Cobie’s Echo fundraising platform has raised $200 million for over 300 projects since its launch. Meanwhile, in some independent fundraising events, we’ve seen millions of dollars disappear in just minutes. Pump.fun successfully completed its ICO, raising $500 million in less than 12 minutes; Plasma raised $373 million in its public offering of XPL, targeting a $50 million goal.

This shift is evident not only in token issuance but also in Launchpad itself. Emerging platforms like Legion, Umbra, and Echo promise greater transparency, clearer mechanisms, and more robust architectures for founders and investors. They are eliminating information asymmetry, enabling investors to distinguish between good and bad projects. Today, investors can clearly understand a project’s valuation, funding amount, and related details, thus better mitigating the risk of being trapped in a losing investment.
This led to a return of capital to ICO investment, with project subscriptions far exceeding expectations.
The new generation Launchpad is also working to build an investment community that aligns with the project’s long-term vision.
Following its acquisition of Echo, Coinbase announced the launch of its own token sale platform, emphasizing a user-platform fit screening process. Currently, they achieve this by tracking users’ token selling patterns. Users who sell tokens within 30 days of the sale’s start will receive a lower allocation, and more fit metrics will be announced soon.

This shift towards a community-centric distribution philosophy is clearly demonstrated in the meticulously designed airdrop program of Monad and the ICO distribution program of MegaETH, both of which are centered on community members.
MegaETH was oversubscribed by approximately 28 times. The project required users to link their social media profiles and wallets with their on-chain history in order to filter out a list of token holders they believed best aligned with the project’s philosophy.

This is the shift we’re seeing: when funds from ICOs become abundant again, project teams need to choose who to allocate those funds to. The new generation of Launchpad was created to address this problem.
Next-generation Launchpad
Currently, platforms such as Legion, Buildlpad, MetaDAO, and Kaito are emerging, representing a new type of launchpad. The first step is to vet ICO projects to ensure investors’ trust in the launchpad platform; the next step is to vet participating investors to ensure that fund allocation complies with project standards.
Legion adheres to a performance-based distribution philosophy and provides the most comprehensive community member ranking system. The platform has successfully completed 17 token offerings, with the most recent offering experiencing an oversubscription rate of approximately 100 times.
To ensure that tokens reach the right people in an oversubscribed sale, each participant is assigned a Legion Score, which takes into account their on-chain history and activity across protocols, developer qualifications (such as GitHub contributions), social impact, network reach, and qualitative statements about their intended contributions to the project.
Founders launching products on Legion can choose to assign weighted metrics, such as developer engagement, social influence, KOL (Key Opinion Leader) engagement, or community education contribution, and allocate weight accordingly.
Kaito takes a more targeted approach, allocating a portion of its resources to “speakers” who actively participate in Twitter discussions. Engagement is weighted based on a user’s voting credibility and speaking influence, the amount of $KAITO staked, and the rarity of the genesis NFT. Project teams can choose from these preferred supporter types.
Kaito’s model helps projects attract influential social media participants as early-stage investors. This strategy is particularly useful for projects that heavily rely on initial exposure.
Buildlpad’s core concept is based on the allocation of funds. The more funds a user stakes, the more tokens they receive when participating in the token sale. However, this also means that only wallets with funds can participate.
To balance this capital-based system, Buidlpad introduced a “team system” that awards leaderboard points and extra rewards based on community activities such as content creation, educational outreach, and social media promotion.
Of the four launchpads, MetaDAO is the most unique. Funds raised through the MetaDAO ICO are placed in an on-chain vault and governed by a market-based mechanism called Futarchy. Futarchy is essentially a futures market for the underlying tokens, but its trading is based on governance decisions rather than price.
All funds raised are held in an on-chain vault, and every expenditure is validated by a conditional market. The team must propose a plan for how the funds will be used, and token holders bet on whether these actions will create value. A transaction can only be completed when the market reaches a consensus.
MetaDAO’s ICO was permissionless and completely open to investor participation, with each investor receiving a token allocation based on their invested capital. However, community building and alignment of interests among token holders occurred after the ICO. Each proposal served as a 市場 within Futarchy, allowing traders to sell or buy more tokens upon proposal approval. Consequently, the token holder community evolved based on the final decision.
While this article focuses on curated allocation schemes, from a project team’s perspective, many other factors need to be considered before deciding to launch an ICO, such as project selection criteria, founder flexibility, platform fees, and post-launch support. The following comparison table can help you understand all these factors at a glance.

Web3 can bring together users, traders, and contributors through incentive mechanisms based on verifiable reputation systems. Without mechanisms to weed out bad actors or attract suitable participants, most community token sales will remain immature, filled with a mixed group of believers and non-believers. The current Launchpad provides the team with an opportunity to improve the token economy and take the right first steps.
The project needs tools to identify suitable users within the ecosystem and reward their tangible contributions. This includes influential users with active communities behind them, as well as founders or builders who create useful applications and experiences for others. These user groups play a vital role in driving the ecosystem’s growth and should be incentivized for long-term retention.
If the current momentum continues, the next generation of Launchpad may help solve the community launch problem in the cryptocurrency space, a problem that airdrops have failed to address.
Top 10 CEX trading volumes and their 24-hour price changes: BNB -3.23% BTC -2.60% ETH -3.88% ALLO +118.91% SOL -7.16% XRP -5.11% DOGE -5.11% XNO +24.80% UNI -12.10% ZEC -15.23% 24-hour gainers list (data source: OKX): ALLO +93.80% LSK +52.06% OMI +31.88% RESOLV +17.59% SWEAT +12.53% MET +8.72% VELODROME +7.91% MERL +6.89% CVC +6.56% PROMPT +5.49% 24-hour cryptocurrency stock gainers list (data source: msx.com ): eToro Group Ltd. Class A Common Shares – MSX +10.2% Intchains Group Limited American Depositary Shares – MSX +8.74% Novo-Nordisk A/S – MSX +8.14% XPeng Inc. American depositary shares, each representing two Class A ordinary shares – MSX +8.03% ProShares UltraShort Ether ETF – MSX +7.99% GraniteShares ETF Trust GraniteShares 2x Short COIN Daily ETF – MSX +7.56% BigBear.ai Holdings, Inc. – MSX +7.01% Moderna,…







