Binance launch path research: Alpha, IDO, Futures, Spot full analysis
Original author: Xinyang, IOSG Ventures
TL;DR:
This study analyzes the token lifecycle performance of Binance’s four major listing channels – Alpha, IDO, Futures and Spot – and tracks their subsequent listings on Bitget, Bybit, Coinbase and Upbit, focusing on return performance, listing rhythm, track preference and FDV range.
Performance Review
The median 14-day FDV of most channels is negative, reflecting that most projects are valued at their peak when they are launched;
Binance Alpha has the most explosive performance (average 220%), but is also highly volatile.
Binance IDO has a good balance of short-term gains and high conversion rates (to Futures and Spot);
Binance Spot has the weakest performance in the short term, possibly because it has become an exit point for early investors;
Bitget and Coinbase performed well in the secondary market, while Bybit and Upbit performed generally.
Select platform by FDV interval
Binance Spot prefers large-cap projects (>$500M).
Alpha mainly supports early-stage projects with a value of
IDO focuses on medium-sized projects with a value of $70M–$200M;
Bitget/Bybit has a flexible range, but prefers projects with growth potential or large market capitalization;
Coinbase/Upbit prefer projects with strong compliance and high valuations.
Expected listing time
· Alpha → Spot: about 60 days on average;
· IDO → Spot: about 17 days on average;
· Futures → Spot: Average of only 14 days;
Futures are probably the quickest path.
Track Preference
Alpha: prefers Meme and AI;
· IDO: Prefer Infra and AI;
Spot: covers Infra, Meme, and AI.
Futures: Broader, focusing on Infra, AI, and Meme;
Project owners can choose the appropriate listing method based on their own narrative direction.
Advanced Coin Listing Path
Alpha → Futures: Conversion rate 37.8%
Alpha → Spot: 12.2% conversion rate
IDO → Futures: Conversion rate 66.7%
IDO → Spot: Conversion rate 23.8%
Achieving a 40% FDV increase is a common feature of entering the next stage of the platform.
Alternative Platform Performance
Bitget is the most capable CEX among all, especially friendly to Alpha/IDO projects;
· Bybit is also willing to undertake IDO projects;
Coinbase/Upbit has very few projects listed, and the review process is strict and takes a long time.
This study focuses on the life cycle performance of project tokens in Binances listing channels (Alpha, Exclusive TGE, commonly known as IDO in the community, Futures, and Spot), and tracks the subsequent listing paths of these projects on centralized trading platforms (CEX) such as Bitget, Bybit, Upbit, and Coinbase. The analysis covers token return performance, listing timing, project track preferences, and valuation distribution (FDV dynamics), aiming to provide strategic listing path recommendations for project parties and establish a data-based price discovery and trading strategy evaluation framework for investors.
Terminology explained: What do Binance’s Spot / Futures / IDO / Alpha listings mean?
Binance Spot is the most basic trading platform of Binance. Users can buy or sell tokens at the current market price. Once the transaction is completed, the asset delivery is completed and can be freely held, transferred or sold.
Binance Futures (contracts) provides mật mã derivatives trading services, where users can go long or short and use leverage to amplify gains or losses.
Binance IDO is a public offering channel for retail users. Users can participate in the token issuance of new projects on the BNB chain by staking BNB or completing Alpha Quest tasks set by the Binance team. This usually happens before the token is officially launched on other platforms.
Binance Alpha is a project discovery platform launched by Binance. It integrates Pancakeswap on BNB Chain and other on-chain DEXs, supports projects with growth potential in the early stages, and emphasizes experimentality and token diversity.
Research Scope
· Trading platform selection: The projects tracked in this study were all initially launched on the Binance series of channels, and their subsequent launch performance on Bitget, Bybit, Coinbase, and Upbit was also included in the investigation. These platforms are the most common CEX after Binance.
· Time limit: Only launch events after February 2025 are included. This time point is used to filter out outdated market logic and is more in line with current launch dynamics.
Understanding the path to launch is extremely important for both project owners and investors:
For project owners, the performance of different platforms will directly affect resource allocation and launch schedule;
For investors, the performance of tokens on different platforms is an important basis for formulating position management and determining whether to chase high prices.
1. Price Discovery
Rate of Return
Indicator bất chấpnition: In this section, we measure the rise and fall of FDV within 14 days after the token is launched to evaluate the short-term price discovery ability of different platforms. We use the FDV corresponding to the closing price on the first day of launch as the benchmark and compare the highest FDV within the 14th day.

Overall, the 14-day median FDV of all platforms is negative, indicating that in the current cycle, most projects are valued at their peak when they go online.
Binance Alpha: The mean is about +77%, and the median is -7.6%. Most projects have limited returns, but a few projects have extremely explosive returns, showing the high volatility characteristics of Alpha. Although the performance is differentiated, the downside space is limited, which provides exposure to the project parties and an asymmetric income structure for investors.
Binance IDO and Futures: The medians are -16.3% and -21.7% respectively, but the mean is +28% and -20%. This shows that most projects performed generally, but some individual projects pulled up the overall mean. Futures performed relatively poorly, mainly because most projects were added after a period of time since they were launched, and the volatility peak has passed.
Binance Spot: median -29.7%, mean -20%. As the most prestigious platform, Spot launch may become an exit point for early investors, leading to price pressure.
Bitget and Coinbase: The performance was stable, with the median of Bitget at -19.8% and the average at about 21%; the median of Coinbase at -7.7% and the average at about 18%. Both of them have strong ability to carry forward the momentum after Binance went online.
· Bybit and Upbit: The performance was average, with a median of -22.1% and an average of 8.9% for Bybit; a median of -24.6% and an average of -5% for Upbit. Upbit was usually launched late, and the popularity of the project has faded, so its performance is weak.
High range
Metric Definition: This section measures the ratio of a token’s highest FDV to its launch FDV within 14 days of launch, and is used to assess the short-term upside potential offered by each platform.
This indicator helps investors judge the initial growth potential of a token after it goes online, and also provides a reference for project owners to understand market demand, selling pressure intensity, and the price discovery capabilities of each platform.
Binance Alpha: The average surge was 220%, with a median of 19.7%. Some projects only experienced small fluctuations, but many projects also experienced sharp increases after going online, demonstrating Alphas strong short-term speculation and price discovery capabilities, making it the channel with the strongest growth potential among all platforms.
Binance IDO: The average surge was about 75%, and the median was 11.5%. Most projects had good hype after they were launched.
Binance Futures: The average surge was 27%, and the median was only 4.1%. It has a certain amount of traffic, which has a certain effect on price promotion, and is a good auxiliary exposure platform.
Binance Spot: The performance was not satisfactory, with an average rise of only 15% and a median of 0.9%. As market expectations had been fulfilled, the project encountered strong selling pressure as soon as it went online.
Coinbase: The average surge was 60%, with a median of 21.1%. It has the strongest catalytic effect among all CEXs, mainly benefiting from its US user base, but the frequency of listing coins is low.
Bybit / Bitget: The average surge is 70-80%, and the median is around 20%. There is a strong speculative atmosphere and obvious short-term fluctuations. It is a very good choice for listing.
Upbit: The average surge was 35%, and the median was 0%. The trading depth was weak and the user enthusiasm was relatively limited.
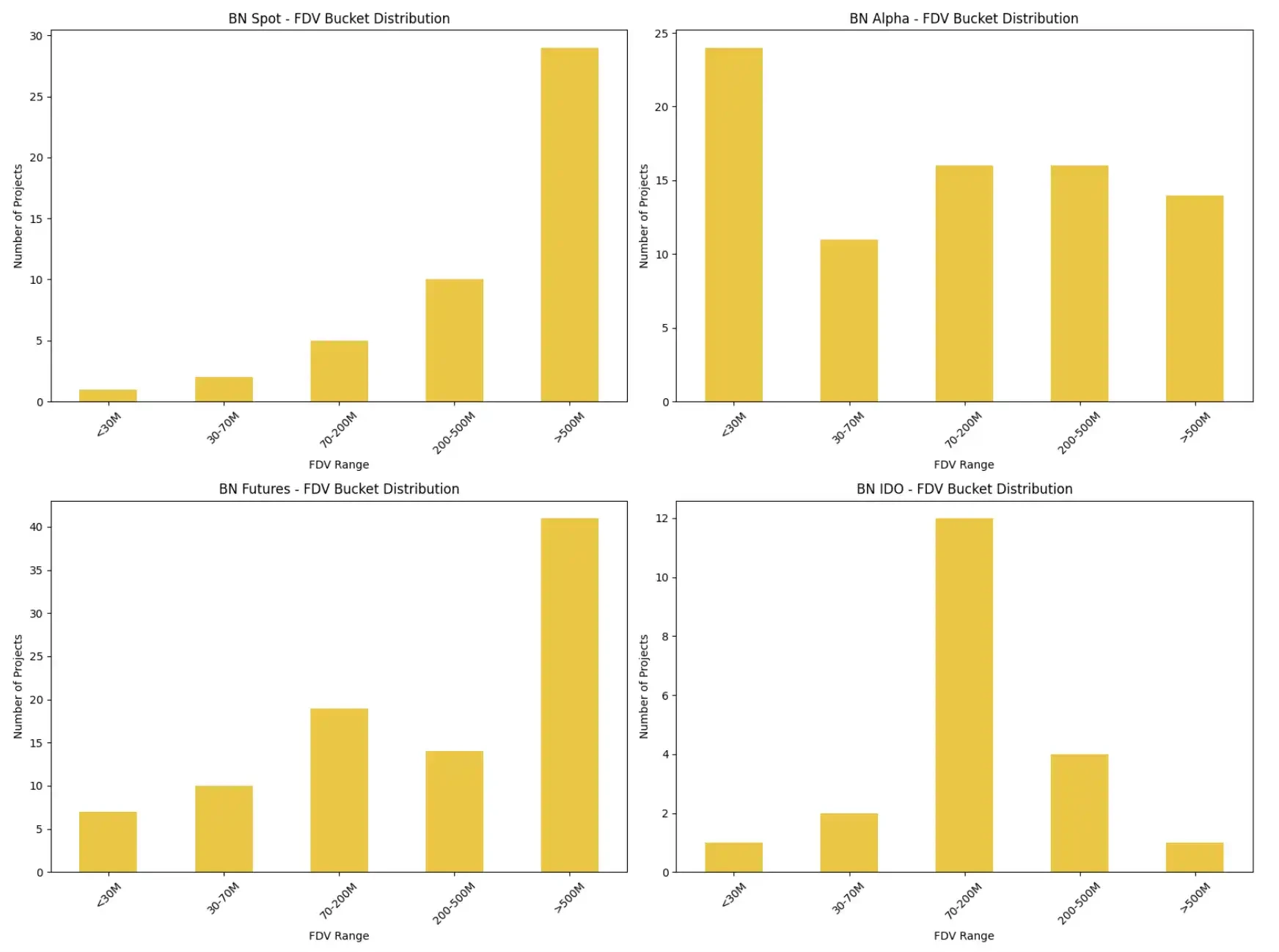
2. FDV distribution at the time of listing
This section starts from the FDV distribution of projects currently launched on various platforms to provide project owners with path planning suggestions. Projects at different valuation stages are suitable for different launch channels. Understanding the platforms FDV acceptance range will help the team more accurately match the launch rhythm with the platform strategy. 

Binance Spot: More than 60% of the projects have a FDV of more than 500 million USD, with a clear preference for large-cap projects. The platform has high requirements for project size and investment institution background, and is more suitable for mature projects with a certain valuation scale.
Binance Alpha: covers a wide range, with FDV mostly below $200 million. It is in line with Alpha’s “experimental field” positioning and is suitable for projects with early valuations but potential.
Binance Futures: More than half of the projects have an FDV of more than $500 million, but there is also a certain distribution in the range of $70 million to $500 million. Futures is more like a follow-up channel for listed projects, suitable for projects with relatively stable valuations.
Binance IDO: FDV is mostly concentrated between $70 million and $200 million, indicating a preference for mid-market value projects. It is suitable for public offerings after the product, community, and strategy are fully prepared.
Bitget: covers the entire valuation range from less than 30 million to more than 500 million, with a concentration of 70 million to 200 million US dollars and more than 500 million US dollars. This shows that the platform has a high acceptance, but prefers mid- and large-cap projects that are already popular or endorsed by institutions.
· Bybit: Nearly half of the projects have an FDV of more than $500 million, and the $70 million to $200 million range is also well covered. It has the dual capabilities of taking on short-term popularity and promoting mid-market value projects.
· Coinbase: Almost all projects have a FDV higher than $500 million, reflecting its compliance threshold and preference for high market capitalization. The platform is more suitable for mature and compliant projects.
· Upbit: All the projects listed have a market value of more than 200 million USD, and most of them exceed the 500 million USD threshold. This shows that the Korean market has high requirements for market value and is more suitable as a later supplementary channel.
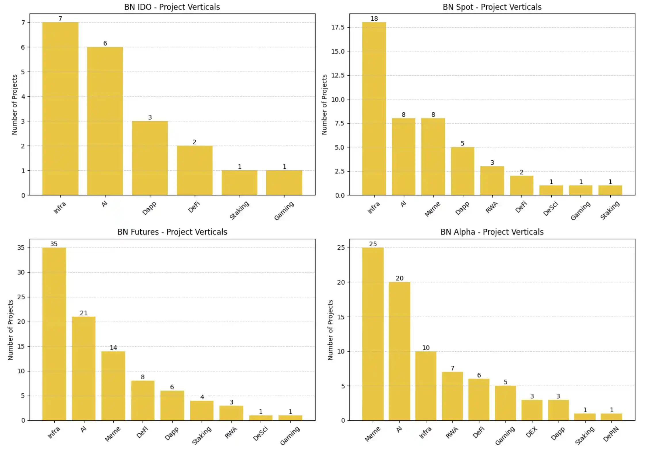
3. Platform Track Preference
Project owners need to understand the differences in preferences among different platforms in terms of track selection. The following analysis only focuses on the distribution of Binance’s four major channels in terms of track dimensions. 
In addition, the total number of projects launched on different channels also reflects the difficulty of launching. Generally, the fewer projects a platform has, the stricter its screening criteria are.
Binance Spot: about 50 projects launched
Binance Futures: about 90 projects launched
Binance Alpha: about 80 projects launched
Binance IDO: about 20 projects launched
Binance IDO:
· Prefer Infra (7 items) and AI (6 items).
· The vertical distribution is concentrated, covering only 6 tracks.
· Clearly focus on underlying technologies and emerging application scenarios, with priority given to supporting infrastructure and AI projects.
Binance Spot:
· Prefer Infra (18 items), Meme (8 items), and AI (8 items).
· It also covers multiple subcategories including DeFi, RWA, GameFi, Dapps, etc.
· The vertical distribution is the most balanced, but infrastructure projects still dominate.
Binance Futures:
· It is the platform with the most online projects, covering 35 Infra and 21 AI projects.
Meme (14) and DeFi (8) also account for a large proportion.
· We have a wide range of track coverage and prefer projects with active markets and narrative-driven features.
Binance Alpha:
Mainly Meme (25) and AI (20), with a strong focus on speculative narratives and experimental themes.
There are 10 Infra projects, and other projects include RWA (5), DeFi (4), and GameFi.
Alpha is a testing ground for hype and conceptual projects.
summary:
Project parties need to adjust product positioning and market narratives based on the vertical preferences of each platform.
AI projects are a popular track supported by all four major channels.
The Meme project dominates Alpha, with good coverage in Spot and Futures as well.
The Infra project is the most inclusive core track besides Alpha.
4. Listing Path Analysis
Many project owners will ask a key question: Can Alpha or IDO become a springboard to enter Binance Spot? Let’s look at the data: 
· Alpha → Futures: The conversion rate is 37.8% (31/82), which is a relatively effective front-end channel.
Alpha → Spot: The conversion rate is only 12.2% (10/82), which is relatively low overall.
IDO → Futures: The highest conversion rate is 66.7% (14/21).
IDO → Spot: Conversion rate is 23.8% (5/21), better than Alpha.
Alpha is more suitable as an early test channel, and more than 30% of projects have successfully entered Futures, but to be promoted to Spot, it still requires strong fundamentals and market performance. In contrast, IDO projects are more solid in brand recognition and community foundation, and have higher promotion potential. Project parties should regard Alpha and IDO as the starting point for entering the Binance system, not the end point.
Project performance threshold
How did the projects that successfully advanced from Alpha/IDO to Binance Spot perform in the early stages? Are there any patterns that can be learned? 
· Alpha → Spot: The median of the projects 14-day high in the Alpha stage is only 5.2%, which is much lower than the 30-50% of other paths, but its average is as high as 113.5%, the highest among all paths. This shows that the performance of the projects is extremely differentiated. Some projects have strong explosive power, but most of them have limited gains. The launch of Binance Spot does not rely entirely on market hype, but pays more attention to hard indicators such as product quality and user data.
· The medians of Alpha → Futures and the two IDO paths (→ Spot and → Futures) in the 14-day highs are relatively concentrated, about 30-45%, and the average is between 51%-105%, showing stable performance.
In general, if a project can achieve a 40-50% FDV surge within two weeks after the launch of the front-end platform, it is more likely to receive further favor from Futures or Spot. This can serve as a reference standard for project parties to evaluate their subsequent listing potential.
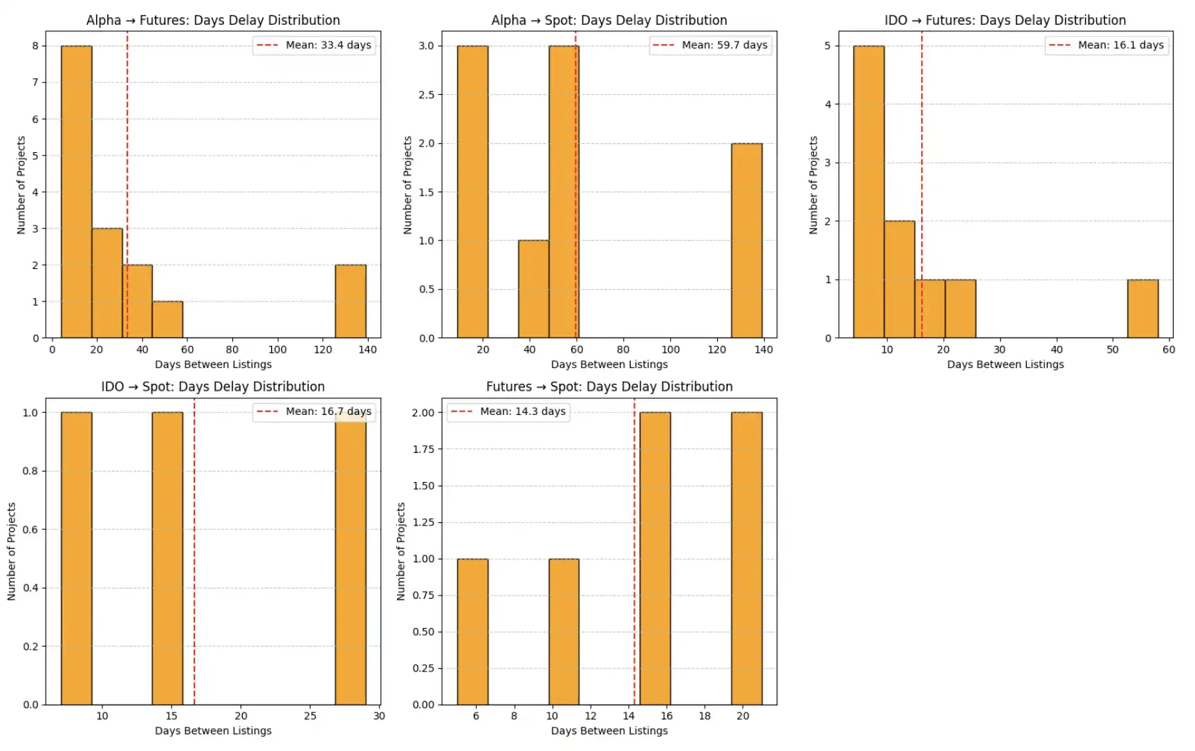
Waiting time
Project owners also need to set reasonable expectations: How long does it usually take from Alpha or IDO to Binance Spot listing? Lack of clear time planning may lead to missing market windows or losing community attention.

Alpha → Spot: The average waiting time is about 60 days, and some projects even exceed 120 days. The overall distribution is relatively wide, indicating that this path is not predictable and is more suitable as a platform for the exploration stage rather than a springboard leading directly to Spot.
· Alpha → Futures: It takes only 30 days on average, which is significantly faster than Spot and has stronger market response efficiency.
IDO → Spot and IDO → Futures: The average waiting time is 17 days, and most projects can be completed within 1 month after going online. Thanks to its strong community mobilization and unified rhythm arrangement, the pace of IDO projects in the subsequent path is relatively controllable.
· Futures → Spot: This is the fastest of all paths, with an average of only 14 days, and the time distribution is highly concentrated.
If the team’s goal is to quickly achieve Binance Spot listing, Futures is the most certain transit path currently observed.
5. Alternative Path: Entering Other CEXs
Not all projects take Binance Spot as their only goal. More and more projects are turning to mainstream platforms such as Bitget, Bybit, Coinbase, and Upbit after Alpha or IDO. Some platforms are quick to respond and have considerable liquidity, becoming actual alternative options.
Listing quantity
After Alpha or IDO, how many projects successfully enter other mainstream CEXs?


· Alpha → Bitget: The listing rate is 34.1% (28/82), far ahead. Bybit is 17.1% (14/82), Coinbase is 6% (6/82), and Upbit has only listed 2 related projects. Bitget has the highest acceptance of Alpha projects, probably due to its open attitude towards emerging projects and flexible listing thresholds. Bybit also shows some interest in Alpha projects.
· IDO → Bitget and Bybit: The listing rates are 61.9% (13/21) and 47.6% (10/21), respectively. Upbit is 9%, and Coinbase has no record. Compared with Alpha, IDO projects are more attractive on other platforms, which may be related to their stronger brand building and community potential. Bitget and Bybit also have stronger capabilities to undertake IDO projects, and are extension paths that are worthy of key consideration by project parties.
Listing waiting time
After a project is listed on Binance from Alpha or IDO, how long does it usually take for it to be followed up and listed on mainstream CEX?

Bitget: Alpha projects take an average of about 14 days, while IDO projects take even longer, taking only 13 days. Many IDO projects are launched simultaneously on the day of TGE.
Bybit: Alpha project lasted about 13 days, and IDO was also launched on the day of TGE.
Coinbase: Only launches Alpha projects, averaging about 29 days.
Upbit: Only launches IDO projects, with an average of about 31 days.
Bitget and Bybit have a faster pace and are suitable for fast-paced launches; Coinbase and Upbit have a slower pace and need to cooperate with local compliance and community pace.
Price discovery capabilities of other CEXs
The following figure shows the average increase of Alpha and IDO projects in the 14 days after they were launched on various CEXs:

Bitget: Alpha projects returned 41.8%, and IDO projects returned 29.2%, the best performance.
Bybit: Alpha projects are -2.3%, IDO projects are 25.2%, preferring IDO.
Coinbase and Upbit: The sample projects are 6 and 4 respectively, with large statistical deviation and unrepresentativeness.
Bitget and Bybit have performed stably in undertaking Binance projects and are important platforms for project parties to consider when planning the TGE route.
VI. Kết luận
Overall, Binance Alpha and IDO are good front-end platforms within Binance:
Alpha is more like a testing ground, with a low entry barrier and suitable for early project exposure;
IDO has stronger brand endorsement, and the conversion rate of Futures and Spot is also higher.
However, Spot conversion is still relatively scarce: the final promotion rate of Alpha projects is only about 12%, and IDO is only 24%. Project parties need to do a good job of rhythm management:
The average waiting time from Alpha to Spot is about 60 days.
IDO → Spot is 17 days,
· Futures → Spot is the fastest, taking only 14 days.
In addition, the preferences of different platforms for project FDV also release key signals:
Spot prefers large-cap projects with valuations above $500M;
Alpha mainly accepts early-stage projects with a valuation of less than $200M;
IDOs are mostly concentrated in the $70M–$200M range, suitable for medium-sized projects with clear preparations.
Project parties should choose appropriate channels based on their own valuation stage to match liquidity expectations with market rhythm.
This article is sourced from the internet: Binance launch path research: Alpha, IDO, Futures, Spot full analysis
Original | Odaily Planet Daily ( @OdailyChina ) Author: Azuma ( @azuma_eth ) This column aims to cover the low-risk return strategies based on stablecoins (and their derivative tokens) in the current market (Odaily Note: code risks can never be ruled out) to help users who hope to gradually increase the scale of funds through U-based financial management to find more ideal interest-earning opportunities. Previous records Lazy Man’s Financial Management Guide | Unichain Incentive Program Launched; Superform Confirms Mã thông báo Issuance (April 21) Lazy Mans Financial Management Guide | Movement gives out 250 million MOVE incentives; Bearchain leader Infrared launches points plan (April 28) Lazy Financial Management Guide | Falcon Finance lifts whitelist restrictions; Ethena Season 3 airdrop collects rice (May 6) Lazy people’s financial management strategy | Resolv airdrop requires…







